Aging impairs heat loss, but when does it matter?

FAME Lab - Aging impairs heat loss, but when does it matter?Stapleton JM, Poirier MP, Flouris AD, Boulay P, Sigal RJ, Malcolm J, Kenny GP. Aging impairs heat loss, but when does it matter? J Appl Physiol (1985). 2015 Feb 1;118(3):299-309. doi: 10.1152/japplphysiol.00722.2014. Epub 2014 Dec 11. PMID: 25505030; PMCID: PMC4312844.

Abstract:

Aging is associated with an attenuated physiological ability to dissipate heat. However, it remains unclear if age-related impairments in heat dissipation only occur above a certain level of heat stress and whether this response is altered by aerobic fitness.

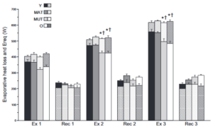
Therefore, we examined changes in whole body evaporative heat loss (HE) as determined using whole body direct calorimetry in young (n = 10; 21 ± 1 yr), untrained middle-aged (n = 10; 48 ± 5 yr), and older (n = 10; 65 ± 3 yr) males matched for body surface area. We also studied a group of trained middle-aged males (n = 10; 49 ± 5 yr) matched for body surface area with all groups and for aerobic fitness with the young group. Participants performed intermittent aerobic exercise (30-min exercise bouts separated by 15-min rest) in the heat (40°C and 15% relative humidity) at progressively greater fixed rates of heat production equal to 300 (Ex1), 400 (Ex2), and 500 (Ex3) W.

Results showed that HE was significantly lower in middle-aged untrained (Ex2: 426 ± 34; and Ex3: 497 ± 17 W) and older (Ex2: 424 ± 38; and Ex3: 485 ± 44 W) compared with young (Ex2: 472 ± 42; and Ex3: 558 ± 51 W) and middle-aged trained (474 ± 21; Ex3: 552 ± 23 W) males at the end of Ex2 and Ex3 (P < 0.05). No differences among groups were observed during recovery. We conclude that impairments in HE in older and middle-aged untrained males occur at exercise-induced heat loads of ≥400 W when performed in a hot environment. These impairments in untrained middle-aged males can be minimized through regular aerobic exercise training.

Full Text Link:

https://journals.physiology.org/doi/pdf/10.1152/japplphysiol.00722.2014