An evaluation of the physiological strain experienced by electrical utility workers in North America

FAME Lab - An Evaluation of the Physiological Strain Experienced by Electrical Utility Workers in North AmericaMeade RD, Lauzon M, Poirier MP, Flouris AD, Kenny GP. An Evaluation of the Physiological Strain Experienced by Electrical Utility Workers in North America. J Occup Environ Hyg. 2015;12(10):708-20. doi: 10.1080/15459624.2015.1043054. PMID: 26011148.

Abstract:

The purpose of this study was to assess the physiological strain experienced by North American electrical utility workers during the performance of their normal work duties in heat stressed conditions. Three common job categories were monitored as they are normally performed in 32 electrical utility workers: (i) Ground Work (n = 11); (ii) Bucket Work (n = 9); and (iii) Manual Pole Work (n = 12).

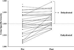
Worker hydration status (urine specific gravity (USG)) was measured prior to and following the work monitoring period (duration: 187 ± 104 min). Core and skin temperatures as well as heart rate were measured continuously. Physiological Strain Index (PSI) was calculated from the measurements of core temperature and heart rate. Prior to the start of the work shift, 38% of workers were euhydrated (USG < 1.020; n = 12) whereas the majority of workers were dehydrated (USG > 1.020; prevalence: 75%; p < 0.01) following work. The overall mean and peak core temperatures for all monitored workers were 37.9 ± 0.3 °C and 38.3 ± 0.5 °C, respectively.

When responses were compared between job categories, greater mean and peak increases in core temperature were observed in Manual Pole Work relative to the other job categories (both p < 0.04). In fact, six workers performing Manual Pole Work achieved core temperatures in excess of 38.5 °C, while only one other worker surpassed this threshold in Bucket Work. The high levels of thermal strain were paralleled by elevated mean and peak heart rate and PSI responses, which were greater in Manual Pole Work in comparison to the other job categories (all p ≤ 0.05). Furthermore, two workers performing Manual Pole Work achieved severely elevated core temperatures reaching or exceeding 39.5 °C along with prolonged periods of near maximal heart rate responses (i.e., >90% of heart rate reserve).

We report elevated levels of thermal and cardiovascular strain in electrical utility workers during work in the heat and potentially dangerous levels of hyperthermia during particularly strenuous work.

Full Text Link:

https://pubmed.ncbi.nlm.nih.gov/26011148/