Stapleton JM, Poirier MP, Flouris AD, Boulay P, Sigal RJ, Malcolm J, Kenny GP. At what level of heat load are age-related impairments in the ability to dissipate heat evident in females? PLoS One. 2015 Mar 19;10(3):e0119079. doi: 10.1371/journal.pone.0119079. PMID: 25790024; PMCID: PMC4366400.
Abstract:
Studies have reported that older females have impaired heat loss responses during work in the heat compared to young females. However, it remains unclear at what level of heat stress these differences occur.
Therefore, we examined whole-body heat loss [evaporative (HE) and dry heat loss, via direct calorimetry] and changes in body heat storage (∆Hb, via direct and indirect calorimetry) in 10 young (23±4 years) and 10 older (58±5 years) females matched for body surface area and aerobic fitness (VO2peak) during three 30-min exercise bouts performed at incremental rates of metabolic heat production of 250 (Ex1), 325 (Ex2) and 400 (Ex3) W in the heat (40°C, 15% relative humidity). Exercise bouts were separated by 15 min of recovery. Since dry heat gain was similar between young and older females during exercise (p=0.52) and recovery (p=0.42), differences in whole-body heat loss were solely due to HE.
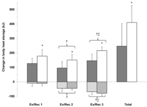
Our results show that older females had a significantly lower HE at the end of Ex2 (young: 383±34 W; older: 343±39 W, p=0.04) and Ex3 (young: 437±36 W; older: 389±29 W, p=0.008), however no difference was measured at the end of Ex1 (p=0.24). Also, the magnitude of difference in the maximal level of HE achieved between the young and older females became greater with increasing heat loads (Ex1=10.2%, Ex2=11.6% and Ex3=12.4%). Furthermore, a significantly greater ∆Hb was measured for all heat loads for the older females (Ex1: 178±44 kJ; Ex2: 151±38 kJ; Ex3: 216±25 kJ, p=0.002) relative to the younger females (Ex1: 127±35 kJ; Ex2: 96±45 kJ; Ex3: 146±46 kJ).
In contrast, no differences in HE or ∆Hb were observed during recovery (p>0.05). We show that older habitually active females have an impaired capacity to dissipate heat compared to young females during exercise-induced heat loads of ≥325 W when performed in the heat.
Full Text Link:
https://journals.plos.org/plosone/article?id=10.1371/journal.pone.0119079
Download PDF:
![]()