Do older adults experience greater thermal strain during heat waves?

FAME Lab - Do older adults experience greater thermal strain during heat waves?Stapleton JM, Larose J, Simpson C, Flouris AD, Sigal RJ, and Kenny GP. Do older adults experience greater thermal strain during heat waves?. Applied Physiology, Nutrition, and Metabolism. 39(3): 292-298. https://doi.org/10.1139/apnm-2013-0317.

Abstract:

Heat waves are the cause of many preventable deaths around the world, especially among older adults and in countries with more temperate climates. In the present study, we examined the effects of age on whole-body heat loss and heat storage during passive exposure to environmental conditions representative of the upper temperature extremes experienced in Canada.

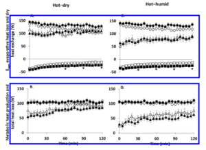
Direct and indirect calorimetry measured whole-body evaporative heat loss and dry heat exchange, as well as the change in body heat content. Twelve younger (21 ± 3 years) and 12 older (65 ± 5 years) adults with similar body weight (younger: 72.0 ± 4.4 kg; older: 80.1 ± 4.2 kg) and body surface area (younger: 1.8 ± 0.1 m(2); older: 2.0 ± 0.1 m(2)) rested for 2 h in a hot-dry [36.5 °C, 20% relative humidity (RH)] or hot-humid (36.5 °C, 60% RH) environment.

In both conditions, evaporative heat loss was not significantly different between groups (dry: p = 0.758; humid: p = 0.814). However, the rate of dry heat gain was significantly greater (by approx. 10 W) for older adults relative to younger adults during the hot-dry (p = 0.032) and hot-humid exposure (p = 0.019). Consequently, the cumulative change in body heat content after 2 h of rest was significantly greater in older adults in the hot-dry (older: 212 ± 25 kJ; younger: 131 ± 27 kJ, p = 0.018) as well as the hot-humid condition (older: 426 ± 37 kJ; younger: 317 ± 45 kJ, p = 0.037). These findings demonstrate that older individuals store more heat during short exposures to dry and humid heat, suggesting that they may experience increased levels of thermal strain in such conditions than people of younger age.

Full Text Link:

https://cdnsciencepub.com/doi/pdf/10.1139/apnm-2013-0317