Increasing age is a major risk factor for susceptibility to heat stress during physical activity

FAME Lab - Increasing Age Is a Major Risk Factor for Susceptibility to Heat Stress During Physical Activity McGinn R, Poirier MP, Louie JC, Sigal RJ, Boulay P, Flouris AD, and Kenny GP. Increasing age is a major risk factor for susceptibility to heat stress during physical activity. Applied Physiology, Nutrition, and Metabolism. 42(11): 1232-1235. https://doi.org/10.1139/apnm-2017-0322.

Abstract:

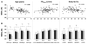
We evaluated the extent to which age, cardiorespiratory fitness, and body fat can independently determine whole-body heat loss (WBHL) in 87 otherwise healthy adults. We show that increasing age is a major predictor for decreasing WBHL in otherwise healthy adults (aged 20-70 years), accounting for 40% of the variation in the largest study to date. While greater body fat also had a minor detrimental impact on WBHL, there was no significant role for cardiorespiratory fitness.

Full Text Link:

https://cdnsciencepub.com/doi/pdf/10.1139/apnm-2017-0322