Iron status markers are only transiently affected by a football game

FAME Lab - Iron status markers are only transiently affected by a football gameJamurtas AZ, Douroudos II, Deli CK, Draganidis D, Chatzinikolaou A, Mohr M, Avloniti A, Barbero-Álvarez JC, Margonis K, Mavropalias G, Stampoulis T, Giannakidou D, Flouris AD, Koutedakis Y, Fatouros IG. Iron status markers are only transiently affected by a football game. J Sports Sci. 2015;33(20):2088-99. doi: 10.1080/02640414.2015.1064154. Epub 2015 Jul 13. Erratum in: J Sports Sci. 2015;33(20):i. PMID: 26168312.

Abstract: 

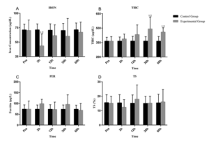
We examined the temporal variation of iron’s status markers during a 60 h period following a football game. Thirty-four male football players were randomly assigned to a control group (CG, N = 14, participated only in measurements and training) or an experimental group (EG, N = 20, took part in a football game one week after the completion of the competitive season). All participants trained regularly for two consecutive days after the game. Training and game load was monitored with high time-resolution global positioning system (GPS) devices. Blood samples were collected and muscle damage markers and repeated sprint ability (RSA) were assessed pre-game and at 2 h, 12 h 36 h and 60 h post-game.

No changes were noted in CG. Iron concentration decreased (P < 0.05) 2 h post-game and normalised thereafter whereas total iron binding capacity increased (P < 0.05) 12-60 h of recovery (P < 0.05). Erythrocytes, haemoglobin (HGB) concentration, plasma volume, haematocrit, mean cell volume, mean cell HGB, mean cell HGB concentration, red cell width-SD, red cell width-CV, ferritin concentration and transferrin saturation remained unaltered during the intervention period. Creatine kinase activity and muscle soreness increased (P < 0.05) throughout recovery in EG. RSA declined (P < 0.05) until 36 h of recovery and normalised thereafter. Our data demonstrate that iron status markers are only transiently affected by a football game.

Full Text Link:

https://pubmed.ncbi.nlm.nih.gov/26168312/