Older firefighters are susceptible to age-related impairments in heat dissipation

FAME Lab - Older Firefighters Are Susceptible to Age-Related Impairments in Heat DissipationKenny GP, Larose J, Wright-Beatty HE, Boulay P, Sigal RJ, Flouris AD. Older firefighters are susceptible to age-related impairments in heat dissipation. Med Sci Sports Exerc. 2015 Jun;47(6):1281-90. doi: 10.1249/MSS.0000000000000537. PMID: 25290744.

Abstract:

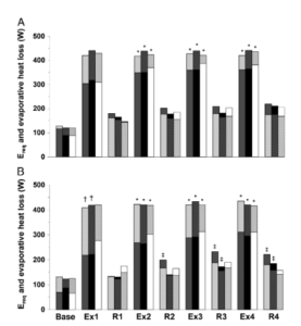
Purpose: The aging-induced reduction in whole-body heat loss (HL) capacity generates concerns regarding the continued participation of older workers in occupations such as firefighting. We compared HL and change in body heat storage (S) during intermittent exercise in warm/dry and warm/humid conditions among older male firefighters (OLDER, n = 9, age = 54.7 ± 2.1 yr), older (age-matched) nonfirefighters (NON-FF, n = 9, age = 52.8 ± 1.2 yr), and young firefighters (YOUNG, n = 6, age = 26.7 ± 0.8 yr).

Methods: We measured evaporative heat loss and dry heat exchange via the Snellen whole-body direct calorimeter while participants performed four 15-min bouts of cycling at 400 W of metabolic heat production separated by 15-min recovery periods in warm/dry (35 °C, 20% relative humidity) and warm/humid (35 °C, 60% relative humidity) conditions.

Results: We found no differences (P > 0.05) in HL or cumulative S (ΔS) between OLDER and NON-FF in the warm/dry (ΔS: OLDER = 233 ± 26 kJ, NON-FF = 270 ± 29 kJ) or warm/humid (ΔS: OLDER = 548 ± 24 kJ, NON-FF = 504 ± 47 kJ) conditions. The OLDER and NON-FF had lower HL than the YOUNG during exercise in both environmental conditions (P < 0.05). The OLDER stored 40% (P > 0.05) and 46% (P = 0.004) more heat than YOUNG in the warm/dry and warm/humid conditions, respectively. The NON-FF stored 63% (P = 0.016) and 34% (P = 0.025) more heat than the YOUNG in the dry and humid conditions, respectively.

Conclusions: Older firefighters and age-matched nonfirefighters demonstrate similar HL and S during work in the heat. Moreover, HL is significantly reduced in older compared to younger firefighters during exercise in both warm/dry and warm/humid conditions. Consequently, older firefighters may be more susceptible to thermal injury while on duty than their younger counterparts.

Full Text Link:

https://pubmed.ncbi.nlm.nih.gov/25290744/