Physical characteristics cannot be used to predict cooling time using cold-water immersion as a treatment for exertional hyperthermia

FAME Lab - Physical Characteristics Cannot Be Used to Predict Cooling Time Using Cold-Water Immersion as a Treatment for Exertional HyperthermiaPoirier MP, Notley SR, Flouris AD, Kenny GP. Physical characteristics cannot be used to predict cooling time using cold-water immersion as a treatment for exertional hyperthermia. Appl Physiol Nutr Metab. 2018 Aug;43(8):857-860. doi: 10.1139/apnm-2017-0619. Epub 2018 Mar 12. PMID: 29529383.

Abstract:

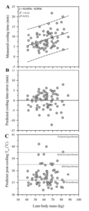
We examined if physical characteristics could be used to predict cooling time during cold water immersion (CWI, 2 °C) following exertional hyperthermia (rectal temperature ≥39.5 °C) in a physically heterogeneous group of men and women (n = 62). Lean body mass was the only significant predictor of cooling time following CWI (R2 = 0.137; P < 0.001); however, that prediction did not provide the precision (mean residual square error: 3.18 ± 2.28 min) required to act as a safe alternative to rectal temperature measurements.

Full Text Link:

https://pubmed.ncbi.nlm.nih.gov/29529383/