The effect of a covert manipulation of ambient temperature on heat storage and voluntary exercise intensity

FAME Lab - The effect of a covert manipulation of ambient temperature on heat storage and voluntary exercise intensityHartley GL, Flouris AD, Plyley MJ, Cheung SS. The effect of a covert manipulation of ambient temperature on heat storage and voluntary exercise intensity. Physiol Behav. 2012 Mar 20;105(5):1194-201. doi: 10.1016/j.physbeh.2011.12.017. Epub 2011 Dec 29. PMID: 22226992.

Abstract:

The modulation of sub-maximal voluntary exercise intensity during heat stress has been suggested as a behavioral response to maintain homeostasis; however, the relationship between thermophysiological cues and the associated response remains unclear. Awareness of an environmental manipulation may influence anticipatory planning before the start of exercise, making it difficult to isolate the dynamic integration of thermophysiological afferents during exercise itself. The purpose of the present study was to examine the direct real-time relationship between thermophysiological afferents and the behavioral response of voluntary exercise intensity.

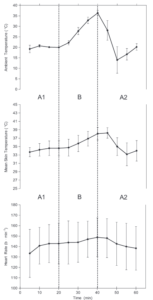
Participants were tasked with cycling at a constant rating of perceived exertion while ambient temperature (T(a)) was covertly changed from 20 °C to 35 °C and then back to 20 °C at 20-minute intervals. Overall, power output (PO) and heat storage, quantified using repeated measures ANOVA, changed significantly over 20-minute intervals (135 ± 39 W, 133 ± 46 W, 120 ± 45 W; 52.35 ± 36.15 W·m(-2), 66.34 ± 22.02 W·m(-2), -66.53 ± 56.01 W·m(-2)). The synchronicity of PO fluctuations with changes in thermophysiological status was quantified using Auto-Regressive Integrated Moving Average (ARIMA) time series analysis. Fluctuations in PO were not synchronized in real time with changes in T(a); heat storage; rectal, skin, or mean body temperature; or sweat rate (stationary-r(2) ≤ 0.10 and Ljung-Box statistic > 0.05 for all variables).

We conclude that, while the thermal environment affects physiological responses and voluntary power output while cycling at a constant perceived effort, the behavioral response of voluntary exercise intensity did not depend on a direct response to real-time integration of thermal afferent inputs.

Full Text Link:

https://pubmed.ncbi.nlm.nih.gov/22226992/